
Это один из основных барометров китайского фондового рынка. Индекс China A50 также известен под названием FTSE–Xinhua China A50 Index (он же CN50 USD) и рассчитывается с учетом котировок акций крупнейших китайских компаний. Этот инструмент не так популярен как S&P 500 или другие крупные американские индексы, но это не делает China A50 плохим инвестиционным инструментом. Китай активно развивается и ETF, копирующие корзину индекса, могут дать неплохой доход.
Предупреждение о рисках: Инвестирование в ценные бумаги связано с риском частичной или полной потери вложенных средств. Стоимость активов может как расти, так и снижаться. Данная статья носит информационный характер и не является индивидуальной инвестиционной рекомендацией. Перед принятием инвестиционных решений проконсультируйтесь с квалифицированным финансовым советником.
Онлайн график индекса China 50 (CN50 USD CFD)
Общая информация об индексе China A50
Индекс China A50 был запущен 13 декабря 2003 г, с учетом принятой методологии значения были пересчитаны вплоть до 21 июля того же года. Стартовое значение принято равным 5000 пунктам.
Ниже – краткая характеристика China A50:
- Провайдер индекса – FTSE Russell.
- Состав корзины фиксирован – в нее входит 50 крупнейших компаний, торгующихся ни биржах Шанхая и Шэньчжэня.
- Это широкий индекс, то есть в корзине не делается акцент на 1-2 секторах экономики.
- Капитализация превышает 6 трлн юаней, с учетом текущего курса капитализация China A50 приближается к $1 трлн, что относит его к крупнейшим индексам планеты.
- Дивидендная доходность составляет 2,31% на момент подготовки обзора.
Есть 3 версии China A50:
- Стандартная версия.
- Total Return – методология та же, но учитывается полное реинвестирование всех дивидендов. Более полно отражает эффект от инвестирования в портфель, копирующий корзину China A50.
- Net TR – то же, что и в версии Total Return, но при реинвестировании дивидендов учитываются еще и выплаченные налоги.

В семейство FTSE China A индексов входит несколько инструментов, среди них China A50 демонстрирует максимальную волатильность. Он растет сильнее чем аналоги, но во время спадов просадка также выше, чем у конкурентов.
Состав корзины China A50
В состав China A50 входят представители 17 секторов экономики. Среди них банковская отрасль, автомобилестроение, здравоохранение, телекоммуникационная сфера, страхование, химическая промышленность и другие. Несмотря на то, что нет акцента на одной отрасли в составе есть явный крен в сторону:
- Банков, 10 из 50 компаний относятся к банковскому сектору, на них приходится 22,70% веса корзины.
- Сектора производства продуктов и табачной промышленности. В корзине 9 из 50 компаний относится к этой отрасли, на них приходится 26,17%.
Аутсайдер – строительный сектор. В корзине всего 1 компания из этой отрасли экономики, на нее приходится 0,93%.

Капитализация крупнейшего представителя China A50 превышает 700 млрд юаней, минимальная капитализация – порядка 100 млрд юаней. Медианная капитализация составляет около 130 млрд юаней.
Пятерка крупнейших компаний из корзины выглядит так:
- Kweichow Moutai. Один из крупнейших производителей алкогольных напитков, в Китае входит в ТОП10 в своем секторе.
- China Merchants Bank. Один из крупнейших банков, базируется в Шэньчжэне, известен тем, что стал первым коммерческим банком, при его создании не был задействован государственный капитал.
- Ping An Insurance. Крупнейшая страховая компания планеты, работает не только в Китае, но и в США, всего в мире открыто более 5000 отделений Ping An Insurance, в интересах компании работает более миллиона агентов.
- Wuliangye Yibin. Еще один производитель алкогольных напитков, отдельный акцент сделан на водке.
- Industrial Bank. По размеру активов входит в ТОП 50 банков мира.

Перечисленные компании обладают суммарным весом в 36%, то есть на них приходится более трети корзины. Это можно отнести к недостаткам, в составе есть явные «паровозы», так, вес только Kweichow Moutai и China Merchants Bank составляет примерно 20% от всей корзины.
Расчетная формула
Индекс China A50 рассчитывается в нескольких валютах:
- Ренминби/Жэньминби (нацвалюта Китая, единица ее измерения – юань). Для расчета используются цены соответствующих акций с местных бирж. По такой логике ведется расчет индекса в течение дня.
- На закрытии торговой сессии, это происходит в 15:00 по местному времени рассчитывается так называемое значение «closing FTSE China A50 rate». В этом случае используются котировки с местных и зарубежных торговых площадок. Расчет «closing rate» ведется в юанях, долларах США и гонконгских долларах.
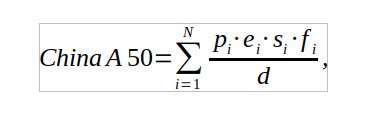
Для расчета индексов этого типа используется формула вида

приняты следующие обозначения:
- N – количество акций в корзине, в случае с А50 N = 50.
- pi – цена соответствующей ценной бумаги в момент расчета.
- ei – поправочный коэффициент для перевода валюты, в которой котируется акция, в валюту, в которой рассчитывается China A50.
- si – количество выпущенных акций.
- fi – еще один поправочный коэффициент, он учитывает free—float. Коэффициент меняется от 1,0 для бумаг с показателем free—float в 100% до 0,0 для акций с free—float в 0%.
Провайдер индекса обеспечивает его расчет в режиме реального времени.
Правила отбора акций
FTSE самостоятельно рассчитывает показатель free—float с точностью до 12 знаков поле запятой. Для этого берется общее количество выпущенных акций и из них вычитается количество бумаг, находящихся в собственности:
- Местных органов власти
- Высшего руководства, членов их семьи, аффилированных с ними компаний
- Сотрудников компании, имеются в виду ситуации, когда бумаги распределяются среди сотрудников самой компанией
- Публичных компаний и их дочерних структур
- Прочих лиц, если в отношении них действует требование о блокировке возможности продажи ценных бумаг на определенный период
- Лиц, которые могут извлечь дополнительную выгоду из-за удержания ценных бумаг на протяжении определенного периода. Например, бонусные выплаты при удержании акций в портфеле от года или нескольких лет
Общее количество акций можно рассчитать по формуле

где:
- TAS – Tradable A Shares, эти бумаги находятся в обороте, их можно купить на бирже.
- NTAS – Non-Tradable A Shares, акции не торгуются на биржах.
- NNS – Non-negotiable Shares, бумаги вне оборота, NNS может быть равно 0.
В соответствии с классификатором все акции делятся на 7 типов. Учитывается страна, в которой состоялся листинг, в какой валюте котируются ценные бумаги, доступность ЦБ для инвесторов из материковой части Китая.

Компании с free—float менее 5% не допускаются для включения в индекс.
Также вводятся ограничения на владение акциями иностранными инвесторами. Вводится 2 критерия:
- FOL (Foreign Ownership Limit) – ограничение на максимальную долю акций, которыми могут владеть инвесторы за пределами Китая.
- MFH (Minimum Foreign Headroom) – расчетный показатель, рассчитывается как (FOL – foreign holdings)/FOL, где foreign holdings – доля акций, находящихся в собственности зарубежных инвесторов.
Пример, FOL – 49%, foreign holdings – 35%. При таких стартовых условиях MFH = (49 – 35)/49 = 28,57%. В зависимости от рассчитанного MFH проверяется возможность включения бумаг в корзину индекса China A50:
- Если компания не входит в состав индекса, то MFH не должен быть ниже 20%.
- Для компаний, уже входящих в состав China A50, требование по минимальному MFH снижено до 10%.
Также в методологии предусмотрены корректировки, если free—float превышает FOL. Подробнее процедура описана в общем руководстве на сайте провайдера.
Помимо перечисленных выше требований вводятся критерии в отношении ликвидности:
- Для компаний, входящих в корзину, средний дневной оборот в течение месяца должен быть не менее 0,04% от объема выпущенных акций. Это требование должно выполняться на протяжении как минимум 8 месяцев в течение календарного года.
- Для компаний, уже входящих в состав индекс, порог поднят до 0,05%, это требование должно выполняться на протяжении 10 месяцев в году из 12.
- Для акций, недавно прошедших листинг, условие по минимальному обороту в 0,05% от выпущенных бумаг должно выполняться на протяжении как минимум 3 месяцев.
Также FTSE сообщает, что указанные выше пороговые значения по обороту могут корректироваться в сторону повышения на 0,01%. Провайдер индекса может сделать это исходя из состояния фондового рынка. Если изменения вводятся, то они касаются всего индекса в целом, а не отдельных компаний или секторов экономики.
Бумаги, не входящие в состав корзины, должны торговаться не менее 60 дней за год, выходные дни и дни с внеплановой остановкой торгов не учитываются. Если акции удаляются из China A50 из-за несоблюдения этого критерия, то повторно они могут войти в корзину только через 12 месяцев.
Пересмотр состава индекса CN50
Пересмотр корзины выполняется 1 раз в квартал (март, июнь, сентябрь и декабрь). При обзоре претендентов на включение в корзину они ранжируются по капитализации:
- Те, кто занял 40-ю позицию и выше рассматриваются как претенденты на включение в индекс.
- Компании, занявшие позицию ниже 60-й, исключаются из перечня претендентов.
Когда производится корректировка состава China A50, то из корзины удаляются претенденты с худшими показателями чем у претендентов на включение в корзину. Изменения всегда проводятся так, чтобы состав сохранялся неизменным, количество компонентов в корзине всегда равно 50.
Помимо этого, провайдер индекса регулярно публикует ТОП 5 крупнейших по капитализации компаний, не входящих в состав China A50. Если один из компонентов «выпадет» из корзины до плановой даты пересмотра состава, то он заменяется компанией из этого шорт-листа.
Как работать с индексом China A50
Сам по себе индекс недоступен для торговли. Это индикативный инструмент, нельзя купить или продать непосредственно сам China A50. Для работы с биржевыми индексами созданы производные инструменты:
- Для торговли используются фьючерсы. Например, через CME Globex доступны мини-фьючерсы на этот индекс. Размер контракта рассчитывается как $2 x котировка индекса, минимальное изменение цены – 2,5 пункта или $5.
- Доступны контракты на разницу на этот индекс. Работа с CFD не имеет ничего общего с торговлей фьючерсами/опционами или инвестированием в ETF. При работе с CFD делается ставка на ожидаемое изменение цены, это больше напоминает финансовый беттинг. Условия работы могут отличаться в зависимости от форекс брокера, отдельные компании могут не начислять дивиденды.

- ETF. Биржевые фонды – отличный выбор для инвестирования. Корзины таких ETF на 95+% копируют состав индекса, поэтому, инвестируя в них, покупатель акций получает ту же доходность, которую демонстрирует сам индекс.
Примеры подобных ETF:
- iShares China Large-Cap (FXI). Фонд запущен в 2004 г, в управлении находится более $5 млрд, комиссия за управление довольно высокая – 0,74%.
- Direxion Daily FTSE China Bull 3X Shares и Direxion Daily FTSE China Bear 3X Shares – оба фонда используют плечо х3, второй фонд – медвежий, то есть он зеркально копирует поведение индекса. Плечо х3 означает то, что любое движение China A50 масштабируется в 3 раза, это дает потенциально больший профит, но при просадке убытки окажутся втрое выше по сравнению с обычными ETF. Оба фонда сравнительно небольшие, в Bull ETF под управлением порядка $0,5 млрд, у медвежьего аналога – на порядок меньше.
- ProShares Ultra FTSE China 50. Используется плечо Х2, фонд работает с 2009 г, комиссия за управление – 0,95%, фонд небольшой, в управлении порядка $20 млн.

Есть и другие ETF такого типа. Если ваша цель – долгосрочные инвестиции, то лучше выбрать стандартный биржевой фонд без плеча. Акции ETF можно покупать через обычных брокеров акций, технически процесс не отличается от приобретения ценных бумаг обычных компаний.
Что касается высокой доходности, то это спорное утверждение. На дистанции China A50 проигрывает тому же S&P500. В отдельные периоды могут быть впечатляющие всплески доходности, но на многолетнем временном отрезке S&P500 обгоняет китайского конкурента и с точки зрения стабильности, и с точки зрения доходности.

Риски, связанные с инвестированием в China A50
Одна из основных причин интереса к китайскому рынку связана с впечатляющими темпами роста экономики. Она стабильно обгоняет среднемировые темпы роста. Создается ощущение, что это беспроигрышный вариант и китайский фондовый рынок – идеальный выбор.
В реальности при инвестировании в китайские компании возникает ряд дополнительных рисков:
- Законодательство может в любой момент ужесточиться в отношении иностранных инвесторов.
- Власти могут напрямую влиять на компании. Хороший пример – срыв IPO Ant Group, причем это произошло практически за пару дней до листинга.
- Нет гарантий, что подается прозрачная отчетность, сложности с аудитом.
- Есть вероятность обострения американо-китайской торговой войны. Последствия могут быть любыми, вплоть до принудительного делистинга бумаг крупнейших компаний Китая с западных бирж.
Все перечисленное нужно учитывать при составлении портфеля. Если не учитывать нерыночные риски, то Китай действительно выглядит очень привлекательно. Проблема заключается в том, что нерыночные риски слишком велики и игнорировать их не стоит.
Заключение
Несмотря на сравнительно малую корзину индекс China A50 подходит на роль барометра, оценивающего состояние китайской экономики. Если не смущают нерыночные риски, то это еще и неплохой инвестиционный инструмент, есть ETF, через которые можно инвестировать в корзину China A50. Также этот инструмент подходит для трейдинга – через обычных Форекс брокеров можно торговать соответствующими CFD.
Если оценивать недостатки инвестирования в CN50 USD, то основной из них – существенные нерыночные риски. Они не зависят от инвестора или самих компаний и связаны с особенностями политического устройства Китая.
