
Капитализация FTSE 100 превышает £2 трлн, что автоматически относит его к крупнейшим европейским индексам. Индекс FTSE 100 зависит от котировок 101 крупной компании, чьи акции доступны на London Stock Exchange, и активно используется не только инвесторами, но и трейдерами. На его основе создан ряд крупных ETF, а фьючерсные контракты и CFD позволяют зарабатывать за счет активного внутридневного трейдинга. Ниже – подробное описание индекса и краткий обзор методов работы с ним.
Предупреждение о рисках: Инвестирование в ценные бумаги связано с риском частичной или полной потери вложенных средств. Стоимость активов может как расти, так и снижаться. Данная статья носит информационный характер и не является индивидуальной инвестиционной рекомендацией. Перед принятием инвестиционных решений проконсультируйтесь с квалифицированным финансовым советником.
Общая информация об индексе FTSE
В начале 80-х годов прошлого века на фондовом рынке наметился перелом. Начался переход от торговли на бирже (в буквальном смысле) к сделкам в электронном виде. Примерно в то же время стала резко расти популярность торговли деривативами. На британском рынке в то время не существовало индекса, который бы подходит на роль универсального барометра.
Тогда в Великобритании было только 2 крупных индекса:
- All-Share Index – запущен в 1962 г.
- Financial Times Ordinary Index, образовался за счет слияния в 1947 г. двух индексов.
Нужен был индекс, который бы включал все «голубые фишки». Им и стал FTSE 100 (иногда его называют футси).
Основные факты об индексе:
- Официальная дата запуска – 3 января 1984 г.
- Отсчет начался с 1000 пунктов, это значение установлено 30 декабря 1983 г.
- Расчет ведется в 2 валютах – EUR и GBP.
- Капитализация превышает £2 трлн.
- Покрывает порядка 75-80% от всего британского фондового рынка.
- В корзине 101 компания.
Ключевые даты в истории ФТСЕ 100:
- 1984 г. – запуск футси.
- 1987 г. – пробита психологическая отметка в 2000 пунктов. В этом же году 19-20 октября происходит рекордное однодневное падение.
- 1989 г. – повторно пробивается уровень в 2000 пунктов.
- 1997 г. – начало расчетов в режиме реального времени. Ранее котировки обновлялись 1 раз каждые 60 секунд.
- 31 декабря 1999 г. индекс вплотную подбирается к уровню 7000.
- 2009 г. – из-за мирового финансового кризиса происходит обвал котировок до 3512 пунктов.
- 2017 г. – пробой уровня 7500 пунктов.
- 2020 г. – обвал из-за объявленной пандемии коронавируса, индекс снижается до 4762 пунктов.
График показывает, что для индекса характерны резкие падения во время кризиса, затем происходит восстановление. Если рассматривать временной период с начала нулевых, то явно выраженного тренда нет. Более-менее устойчивый рост начался в конце нулевых, но резкого движения нет, периодически происходят глубокие коррекции.
Подиндексы FTSE 100
Помимо обычного футси (так называемая версия Price Return) рассчитывается несколько подиндексов:
- Total Return. Показывает изменение котировок в зависимости от динамики котировок акций и с учетом полного реинвестирования, налоги игнорируются. Исключение – дивиденды, выплачиваемые Royal Dutch Shell A Shares. С этих поступлений списывается 15%.
- Net of Tax. Учитываются налоги, отчисляемые с дивидендных выплат, остаток реинвестируется. Этот индекс можно учитывать для примерной оценки реальной доходности.
- Declared Dividend Index. Его особенность заключается в том, что котировки обнуляются после 3-й пятницы декабря. Дивиденды реинвестируются без учета налогов.
- Dividend Index – RDSA Withholding. Ежегодно обнуляется по той же схеме, что и предыдущий индекс. Налоги с дивидендов не учитываются за исключением Royal Dutch Shell A Shares.
- Cumulative Dividend Points Index. Налоги с дивидендов не учитываются, ежегодного обнуления нет.

FTSE Russell Group рассчитывает сотни биржевых индексов, футси – один из крупнейших. Есть и другие индексы, они ориентированы на британский рынок поэтому между ними сохраняется высокая корреляция.
Состав корзины FTSE
Жестких ограничений по составу корзины нет, в нее входят представители 20 секторов экономики. Наибольшим весом обладают:
- Здравоохранение – порядка 11%.
- Промышленные товары и услуги – 10,64%.
- Энергетический сектор – 10,24%.
- Сектор добычи полезных ископаемых – 9,65%.
- Фармацевтический сектор и сфера производства предметов личной гигиены – 9,32%.
Указанные веса не фиксированы, в будущем может измениться и составил пятерки лидеров и доля каждого из них.
Что касается отдельных компаний, то лидируют:
- AstraZeneca – фармацевтический гигант.
- Unilever – работает на рынке производства пищевых продуктов и бытовой химии.
- Diageo – производитель премиальных алкогольных напитков.
- HSBC Holdings – крупнейший банк Великобритании, финансовый конгломерат мирового масштаба.
- GlaxoSmithKline – фармацевтическая компания.
Полная информация о компаниях, входящих в индекс FTSE, находится на сайте провайдера в разделе с описанием индексов. В разделе «Constituents» нужно выбрать индекс, автоматически на ПК загрузится документ с актуальным составом корзины.
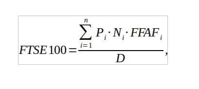
Методика расчета FTSE 100
В расчете используется стандартная для взвешенных по капитализации индексов формула

где:
- n – количество бумаг в корзине.
- Pi – цена акции i-й компании.
- Ni – количество выпущенных акций i-й компании (shares outstanding).
- FFAFi – поправка, учитывающая коэффициент free—float для i-й акции. Максимальное значение коэффициент – 1,0.
- D – делитель. Провайдер учитывает изменение капитализации футси при расчете Divisor.
Начиная с 1997 г., котировки обновляются ежесекундно. Сразу после запуска котировки обновлялись лишь 1 раз в минуту, а с 1995 г. – 4 раза в минуту.
Расчеты выполняет FTSE Russell Group. Ранее FTSE и Russell Investments существовали как отдельные структуры, но в 2015 г. произошло их слияние.
Критерии отбора акций в индекс FTSE
Ниже приведены критерии отбора бумаг для вхождения в состав индексов из семейства FTSE UK Index Series, основной индекс Лондонской фондовой биржи входит в эту группу:
- В корзину могут попасть только крупнейшие компании, так называемые голубые фишки. По требованиям провайдера индекса акции должны быть включены в сегмент Premium Listed.
- Компании, зарегистрированные в Великобритании, должны обладать free—float не меньше 25%. Если помимо Великобритании есть листинг на зарубежных торговых площадках, то компании могут включаться в корзину при условии, что их бумаги соответствуют критерию ликвидности.
- Для бизнеса, зарегистрированного за пределами Великобритании, free—float должен быть не ниже 50%. Также компания должна подтвердить намерение работать в соответствии с британским корпоративным правом.
- Если компания зарегистрирована в развитой стране (но не в Великобритании), но не соответствует требованию ликвидности, то ее бумаги все равно могут быть включены в корзину. Для этого ликвидность на LSE должна быть выше чем на остальных площадках.
- Компании-новички, недавно вышедшие на биржу и имеющие free—float менее 5% не рассматриваются в роли кандидатов на включение в индекс.
Для компаний, зарегистрированных в некоторых юрисдикциях, провайдер вводит дополнительные ограничения по количеству голосующих акций. Также FTSE Russell Group оставляет за собой право принять окончательное решение в зависимости от таких факторов как расположение штаб-квартиры и прочих нюансов.
При пересмотре состава корзины:
- Составляется рейтинг компаний по рыночной капитализации.
- Места ниже 111-го подпадают под «быстрый выход», они удаляются из индекса без учета прочих критериев.
- Места до 90-го включительно соответствуют «быстрому входу», то есть сразу включаются в футси.
- Один раз в год в июне проверяется соответствие критерию по ликвидности.
В остальном провайдер учитывает положение компании в рейтинге. Состав корзины меняется не особо часто, обычно за год из состава FTSE 100 удаляется не больше 3-5 компаний. Даты пересмотров размещаются на сайте провайдера.
Как инвестировать в индекс FTSE 100
Это один из крупнейших индексов планеты, поэтому он подходит и для средне-/долгосрочного инвестирования, и для активной торговли. Каждый из способов разберем подробнее.
Инвестирование в футси
Самостоятельный сбор соответствующего портфеля – слишком затратная схема работы. В теории это возможно, но вам придется самостоятельно покупать акции 101 компании и при этом следить за весом каждой из них. На это потребуется солидный капитал и масса времени.
Гораздо проще купить акции биржевого фонда, копирующего состав футси. Есть несколько десятков таких ETF, ниже – несколько таких фондов:
- iShares Core FTSE 100.
- Vanguard FTSE 100 UCITS GBP Inc.
- WisdomTree FTSE 100 3x Daily Short – нестандартный ETF. Это инверсный фонд, то есть у него обратная корреляция с футси, при этом в него встроено плечо 1 к 3, то есть амплитуда движений втрое больше, чем у ФТСЕ 100.
- WisdomTree FTSE 100 3x Daily Leveraged. Здесь также есть плечо, но фонд прямой – движется в том же направлении, что и футси.
- HSBC FTSE 100 UCITS.
У каждого из ETF примерно одна и та же точность копирования корзины индекса. Можно покупать бумаги любого из них, но лучше отдать приоритет крупнейшим – у их акций выше ликвидность. Инверсные фонды используются для подстраховки – их покупают перед ожидающейся просадкой или в периоды нестабильности. ETF с плечом опасны тем, что по ним быстрее нарастает не только прибыль, но и убыток.
Инвестировать в эти ETF можно через любого иностранного брокера, например Just2Trade.
Активный трейдинг
В этом случае придется выбирать между фьючерсами/опционами и контрактами на разницу (CFD – contract for difference). Фьючерсы и опционы доступны на биржах, это максимально гибкие инструменты.
На FTSE доступно несколько фьючерсных контрактов, размер каждого из них определяется как £5 x котировка футси. Фьючерсы доступны на интерконтинентальной ICE, британской LSE и американской CME (торговля ведется на Globex). Минимальный шаг изменения цены – 0,5 тика или £5.
Что касается опционов, то для них в роли базового актива выступает соответствующий фьючерсный контракт. По сравнению с фьючерсами опционы более гибкий инструмент так как держатель опциона может не исполнять контракт.
Что касается CFD, то его называют суррогатом или неполноценным биржевым инструментом. Доступ к ним предоставляют обычные Форекс-брокеры. При покупке/продаже CFD трейдер не совершает реальную покупку, а лишь делает ставку на то как изменится цена в будущем.
Преимущества этого способа – низкий входной порог, простота торговли, в зависимости от брокера может быть высокое кредитное плечо.
Факторы, влияющие на котировки FTSE 100, риски инвестирования
Набор факторов стандартный, на футси влияют:
- Состояние мировой экономики.
- Состояние британской и европейской экономик. Несмотря на выход Великобритании из ЕС их экономики тесно связаны в силу географических особенностей.
- Изменение монетарной политики Великобритании, ЕС.
Нестандартных факторов влияния нет, этот список подходит для большинства индексов планеты. Именно экономика определяет темпы роста котировок.
Что касается инвестиционных рисков, то основной из них – возможность попасть на затяжной период стагнации. В прошлом уже был период, когда футси на протяжении практически 20 лет двигался в широком коридоре, лишь с конца нулевых движение с натяжкой можно назвать бычьим трендом.
Британская экономика сильна, но это не значит, что в индекс FTSE 100 нужно инвестировать прямо сейчас. Лучше дождаться отката к значимым уровням, практика показывает, что этот прием неплохо работает.
Заключение
Индекс FTSE входит в группу крупнейших биржевых индексов планеты, капитализация его корзины превышает £2 трлн. Масштабы индекса и сила британской экономики обусловили популярность этого инструмента – он массово используется провайдерами биржевых фондов, востребованы и соответствующие деривативы. То есть футси можно назвать универсальным индексом, он не только выступает в роли барометра состояния британской экономики, но и подходит для любого типа инвестирования и активной торговли.






